Chất lượng điện năng hiện đang được chú trọng và đặt lên hàng đầu trong các lĩnh vực công nghiệp nhằm bảo đảm hoạt động hiệu quả của hệ thống sản xuất và hệ thống giám sát của nhà máy. Hiện nay, méo sóng hài là vấn đề xảy ra thường xuyên trong hệ thống điện, nó là yếu tố then chốt để đảm bảo phẩm chất của điện năng. Hãy cùng Huỳnh Lai khám phá về sóng hài và những ảnh hưởng tiêu cực của nó trong bài viết sau đây.
1. Sóng hài là gì?
Sóng hài được định nghĩa là loại sóng nhiễu không mong muốn, gây hại và ảnh hưởng trực tiếp đến hệ thống điện năng. Hệ thống điện được thiết kế để hoạt động ổn định ở một tần số nhất định (thông thường là 50Hz), nhưng trong quá trình truyền tải điện năng, các thành phần sóng bậc cao xuất hiện và hòa vào hệ thống điện do các phụ tải phi tuyến, dẫn đến việc biến dạng sóng của hệ thống phân phối.
Đặc điểm của sóng hài:
- Tần số cao hơn tần số cơ bản: Nếu tần số cơ bản là 50Hz, sóng hài bậc 3 có tần số 150Hz (3x50Hz), sóng hài bậc 5 có tần số 250Hz (5x50Hz), và tiếp tục như vậy.
- Dạng sóng không sin: Khi sóng hài kết hợp với sóng cơ bản, dạng sóng điện áp hoặc dòng điện của hệ thống sẽ bị biến dạng, không còn giữ nguyên hình dạng sin hoàn hảo.

Biều đồ sóng hài
Xem thêm: Điện áp 220V là gì? Vì sao lại được sử dụng phổ biến tại Việt Nam
2. Công thức tính
Sóng hài có đặc điểm là bội số của tần số cơ bản. Chẳng hạn, trong hệ thống điện 50Hz, sóng hài bậc 5 có tần số là 250Hz, còn sóng hài bậc 7 có tần số 350Hz.
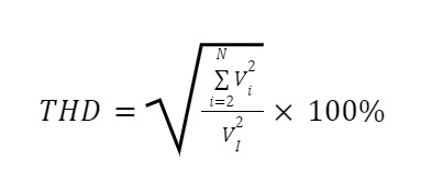
Biến dạng sóng hài điện áp được xác định bằng tỷ lệ giữa giá trị hiệu dụng của sóng hài điện áp và giá trị hiệu dụng của điện áp bậc cơ bản, theo công thức sau:

Công thức tính sóng hài
- Vi: Giá trị hiệu dụng của sóng hài điện áp bậc i.
- V1: Giá trị hiệu dụng của điện áp bậc cơ bản.
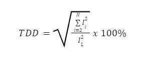
Biến dạng sóng hài dòng điện được tính bằng tỷ lệ giữa giá trị hiệu dụng của sóng hài dòng điện và giá trị hiệu dụng của dòng điện bậc cơ bản trong điều kiện phụ tải, sức phát điện tối đa sẽ được tính thông qua công thức sau:

Công thức tính sóng hài
- Ii: Giá trị hiệu dụng của sóng hài dòng điện bậc i.
- IL: Giá trị hiệu dụng của dòng điện cơ bản (ở chế độ tải).
3. Nguyên nhân sinh ra sóng hài
Sóng hài là những thành phần có tần số cao hơn tần số cơ bản (50Hz) xuất hiện trong điện áp và dòng điện. Có nhiều yếu tố dẫn đến sóng hài, nhưng chủ yếu là do:
- Tải phi tuyến: Các tải phi tuyến là những tải có dòng điện không tương xứng với điện áp. Khi các tải phi tuyến nối vào hệ thống điện, chúng tạo ra dòng điện hài, gây méo dạng điện áp và dòng điện, tạo ra sóng hài.
Chẳng hạn:
- Lò hồ quang điện: Dòng điện qua lò hồ quang điện có dạng xung, không liên tục.
- Bộ chỉnh lưu: Dòng điện qua bộ chỉnh lưu có dạng xung, chỉ xuất hiện trong một phần của chu kỳ điện áp.
- Thiết bị điện tử: Các thiết bị điện tử sử dụng mạch chỉnh lưu và nghịch lưu cũng có thể phát sinh sóng hài. Ví dụ:
- Máy tính: Dòng điện qua máy tính có dạng xung, do hoạt động của các bộ nguồn xung.
- Bộ điều khiển tốc độ động cơ: Dòng điện qua bộ điều khiển tốc độ động cơ có dạng PWM.
- Biến áp: Biến áp cũng có thể phát sinh sóng hài do hiện tượng bão hòa từ. Khi từ thông trong lõi biến áp bị bão hòa, dòng điện qua biến áp sẽ bị biến dạng, dẫn đến việc tạo ra sóng hài.
- Hệ thống điện: Trong hệ thống điện có nhiều tải phi tuyến và thiết bị điện tử dẫn đến sự xuất hiện của sóng hài. Những sóng hài này có thể tác động đến các thành phần khác trong hệ thống điện và làm tăng cường độ sóng hài.
- Biến tần: Hiện nay, biến tần được ứng dụng phổ biến trong các ngành công nghiệp hiện đại để điều khiển động cơ, tàu biển, giàn khoan, máy bơm và quạt… và chúng là nguồn phát sóng hài chính.
4. Ảnh hưởng của sóng hài đến hệ thống điện
- Gây tổn thất điện năng: Sóng hài làm tăng cường dòng điện và điện áp trong hệ thống điện, dẫn đến tình trạng tổn hao năng lượng trong dây dẫn, máy biến áp và các thiết bị khác.
- Giảm tuổi thọ thiết bị: Sóng hài làm tăng nhiệt độ trong các thiết bị điện, gây lão hóa cách điện và giảm tuổi thọ của thiết bị.
- Sóng hài cũng làm tăng độ rung và tiếng ồn trong động cơ điện, dẫn đến hao mòn cơ khí và giảm tuổi thọ của động cơ.
- Gây nhiễu cho thiết bị điện tử: Sóng hài có thể gây ra sự can thiệp đối với các thiết bị điện tử như máy tính, bộ điều khiển PLC và hệ thống điều khiển tự động…, dẫn đến hoạt động sai lệch hoặc hư hỏng.
- Gây méo điện áp: Sóng hài làm biến dạng điện áp, ảnh hưởng đến chất lượng điện năng, gây ra các hiện tượng như đèn nhấp nháy, sụt áp, v.v.
- Tăng nguy cơ cháy nổ: Sóng hài có thể làm gia tăng nguy cơ cháy nổ do làm tăng nhiệt độ trong hệ thống điện và giảm khả năng cách điện của thiết bị.
5. Cách khắc phục
Một số biện pháp giảm thiểu sóng hài bao gồm:
- Chọn biến tần có độ méo hài thấp: Nên lựa chọn biến tần với chỉ số THD (Total Harmonic Distortion) ở mức thấp (dưới 5%). Các biến tần có cấu hình chỉnh lưu và nghịch lưu tiên tiến giúp giảm thiểu sóng hài đầu ra.
- Sử dụng bộ lọc sóng hài: Lắp đặt bộ lọc sóng hài cho biến tần sẽ hỗ trợ loại bỏ các thành phần sóng hài trong dòng điện và điện áp. Có nhiều loại bộ lọc sóng hài khác nhau, cần lựa chọn loại phù hợp với công suất và loại tải sử dụng.
- Sử dụng cuộn kháng: Lắp đặt cuộn kháng tại đầu vào hoặc đầu ra của biến tần có thể giảm thiểu dòng điện sóng hài. Tuy nhiên, cuộn kháng có thể gây ảnh hưởng đến hiệu suất và làm tăng chi phí cho hệ thống.
- Cải thiện chất lượng điện năng: Cần bù công suất phản kháng nhằm nâng cao hệ số công suất. Nên sử dụng thiết bị có độ méo hài ít. Lắp đặt hệ thống giám sát chất lượng điện năng để theo dõi và khắc phục các vấn đề liên quan đến sóng hài.
Xem thêm: Tụ bù công suất phản kháng là gì? Tác dụng và phân loại
6. Tiêu chuẩn về sóng hài
Sóng hài là một yếu tố quan trọng ảnh hưởng đến chất lượng điện của hệ thống và có thể gây thiệt hại cho các thiết bị khác trong nhà máy sản xuất. Vì vậy, tại Việt Nam và thế giới đã đặt ra nhiều tiêu chuẩn để đánh giá mức độ nghiêm trọng của sóng hài.
Trong số đó có tiêu chuẩn IEEE 519 của Viện Kỹ Thuật Điện – Điện Tử Hoa Kỳ và tiêu chuẩn theo Thông tư số TT30/2019/TT-BCT của Bộ Công Thương. Các tiêu chuẩn này được quy định như sau:
| Tiêu chuẩn | Biến dạng sóng hài điện áp | Biến dạng sóng hài dòng điện |
| TT30 BCT VN | 8% | 12% |
| IEEE 519 | 8% | 5% |
7. Cách đo và phân tích sóng hài
Để đo sóng hài, bạn cần sử dụng các công cụ phân tích chuyên dụng như máy đo sóng hài, máy phân tích phổ hoặc thiết bị đo đa năng cao cấp có chức năng phân tích sóng hài. Những thiết bị này sẽ giúp xác định chỉ số Tổng độ méo sóng hài (THD), tổng độ méo điện tiêu thụ (TDD), cũng như các thành phần sóng hài cụ thể và dạng sóng điện áp, dòng điện.
Các bước đo và phân tích sóng hài cụ thể như sau:
7.1. Chuẩn bị thiết bị đo
- Máy phân tích chất lượng điện (Power Quality Analyzer): Đây là thiết bị chuyên dụng nhất với khả năng đo lường THD (THD-V, THD-I), các bậc sóng hài cụ thể cùng với dạng sóng của điện áp và dòng điện.
- Máy phân tích phổ (Spectrum Analyzer): Giúp xác định các thành phần tần số của dòng điện và điện áp.
- Kìm đo dòng True RMS: Dùng để đo dòng điện một cách chính xác trong môi trường có sóng hài.
- Đầu dò điện áp: Dùng để đo điện áp tại các vị trí khác nhau trong hệ thống.

Kìm ampe – thiết bị đo sóng hài
7.2. Thực hiện đo lường
Kết nối thiết bị đo vào hệ thống điện ở các điểm cần kiểm tra, chẳng hạn như đầu vào và đầu ra của những thiết bị phi tuyến. Bật thiết bị và tiến hành đo các thông số như điện áp, dòng điện, công suất và sóng hài.
7.3. Phân tích kết quả
- THD (Tổng độ méo hài): Đo tổng độ méo sóng hài của điện áp hoặc dòng điện.
- TDD (Tổng độ méo nhu cầu): Cung cấp một chỉ số chính xác hơn về tác động của độ méo sóng hài đối với dòng điện, đặc biệt khi xem xét tải.
- Thành phần sóng hài: Đánh giá biên độ và tần số của từng bậc sóng hài (ví dụ: bậc 3, bậc 5, bậc 7).
- Dạng sóng: Quan sát dạng sóng điện áp hoặc dòng điện để xác định sự sai lệch so với sóng sin.
Có thể bạn quan tâm: Nguyên nhân nổ tụ bù và cách khắc phục
7.4. Xác định nguồn và chiều sóng hài
So sánh các giá trị sóng hài đã đo với các tiêu chuẩn quốc tế như IEEE 519 để đánh giá mức độ ảnh hưởng. Đồng thời phân tích sự khác biệt về góc pha giữa sóng hài của điện áp và dòng điện để nhận biết hướng lan truyền của sóng hài (hướng xuống từ lưới hay hướng lên từ tải).
Qua những thông tin trên, chắc hẳn bạn đã hiểu rõ sóng hài là gì, nguyên nhân gây ra cũng như những tác động tiêu cực của nó đối với hệ thống điện. Việc nhận diện và xử lý sóng hài kịp thời không chỉ giúp bảo vệ thiết bị, nâng cao hiệu suất vận hành mà còn tiết kiệm chi phí năng lượng cho doanh nghiệp. Để đảm bảo hệ thống điện hoạt động ổn định, an toàn, bạn nên lựa chọn giải pháp lọc sóng hài và thiết bị điện từ những nhà cung cấp uy tín, chuyên nghiệp.
Hãy liên hệ Huỳnh Lai Electric 0938984282 để được tư vấn giải pháp và cung cấp thiết bị điện chất lượng nhất.

